Объект: URelay

Библиотека: Electronics

Имя на уровне решателя: URelay

Аннотация: Реле замыкания по напряжению

Обозначение: FIXed ME

Описание модели

Порты (степени свободы) компонента:

Обозначение порта

Тип

Наименование порта

1

Port1

base.DOF1

Электрический порт 1 положительного вывода замыкающей цепи

2

Port2

base.DOF1

Электрический порт 2 отрицательного вывода замыкающей цепи

3

Port3

base.DOF1

Электрический порт 1 замыкаемой цепи

4

Port4

base.DOF1

Электрический порт 2 замыкаемой цепи

Пользовательские параметры модели

Параметр

Тип

Описание

Значение по умолч.

1

Goff

base.real

Проводимость разомкнутого ключа, 1/Ом

1e-6

2

Ron

base.real

Сопротивление замкнутого ключа, Ом

1e-6

3

S0

string

Начальное состояние [on, off]

off

4

Umax

base.real

Напряжение включения, В

1

5

dt

base.real

Время переключения, с

1e-3


Результаты тестирования
../../../../_images/logo_ru_no_text.png

www.laduga.com

Глава 1. Заданные параметры теста

Название тестируемого компонента

URelay

Модуль тестируемого компонента

Electronics

Дата тестирования

Tue Mar 3 19:33:55 2026

Результат

OK

Глава 2. Схема тестируемого объекта

Управляемое реле URelay. Проверка порогового срабатывания.

Описание устройства

URelay — это управляемое реле с пороговым срабатыванием по напряжению (в отличие от IRelay, где порог задается током). Данный тип реле коммутирует силовую цепь при достижении заданного уровня напряжения в цепи управления.

Применяется в схемах: * Релейной защиты и автоматики * Контроля уровня напряжения * Системах аварийного отключения * Устройствах пуска и остановки оборудования

Структура схемы

Схема состоит из двух гальванически развязанных цепей: управления и силовой части.

Цепь управления:

  • Управляемый источник напряжения (EVV1) — формирует напряжение в цепи управления, пропорциональное входному сигналу.

  • Амперметр As — измеряет ток, потребляемый цепью управления реле.

  • Источник трапециевидного сигнала (TrapeziumSource1) — формирует управляющее воздействие заданной формы (линейное нарастание и спад).

  • Датчик напряжения S1 — контролирует входной сигнал.

  • Амперметр Agr — контролирует токи утечки на землю (паразитные связи).

Силовая часть:

  • Источник ЭДС E1 = 10 В — питание силовой цепи (нагрузки).

  • Сопротивление R1 = 10 Ом — нагрузка, коммутируемая контактами реле.

  • URelay — реле с управлением по напряжению, нормально открытый (НО) контакт.

Принцип работы

Реле URelay работает по следующему алгоритму:

  1. Трапециевидный сигнал от TrapeziumSource1 поступает на датчик S1 и управляет источником напряжения EVV1.

  2. Напряжение в цепи управления начинает нарастать.

  3. Пока напряжение управления ниже порога срабатывания (< 1 В): * Контакты реле разомкнуты * Ток в силовой цепи отсутствует (I_А1 = 0 А)

  4. Когда напряжение управления достигает порога срабатывания (≥ 1 В): * Нормально открытый контакт замыкается * В силовой цепи начинает протекать ток

  5. Когда напряжение управления снижается ниже порога отпускания (< 1 В): * Контакт размыкается * Ток в нагрузке прекращается

В данной модели пороги срабатывания и отпускания совпадают и равны 1 В (реле без гистерезиса).

Расчет ожидаемых значений

Силовая цепь (при замкнутых контактах):

\[I_{сила} = \frac{E1}{R1} = \frac{10\ \text{В}}{10\ \text{Ом}} = 1\ \text{А}\]

Цепь управления:

Ток в цепи управления (показания амперметра As) определяется входным напряжением и внутренним сопротивлением катушки реле:

\[I_{упр} = \frac{U_{упр}}{R_{кат}}\]

где \(R_{кат}\) — сопротивление катушки реле (не указано в исходных данных).

Токи утечки:

Амперметр Agr должен показывать пренебрежимо малые значения (\(I_{ут} \approx 0\ \text{А}\)), что свидетельствует о качественной гальванической развязке между цепью управления и силовой частью.

Пороговые условия
  • При \(U_{упр} < 1\ \text{В}\) — контакты разомкнуты, \(I_{сила} = 0\ \text{А}\)

  • При \(U_{упр} \geq 1\ \text{В}\) — контакты замкнуты, \(I_{сила} = 1\ \text{А}\)

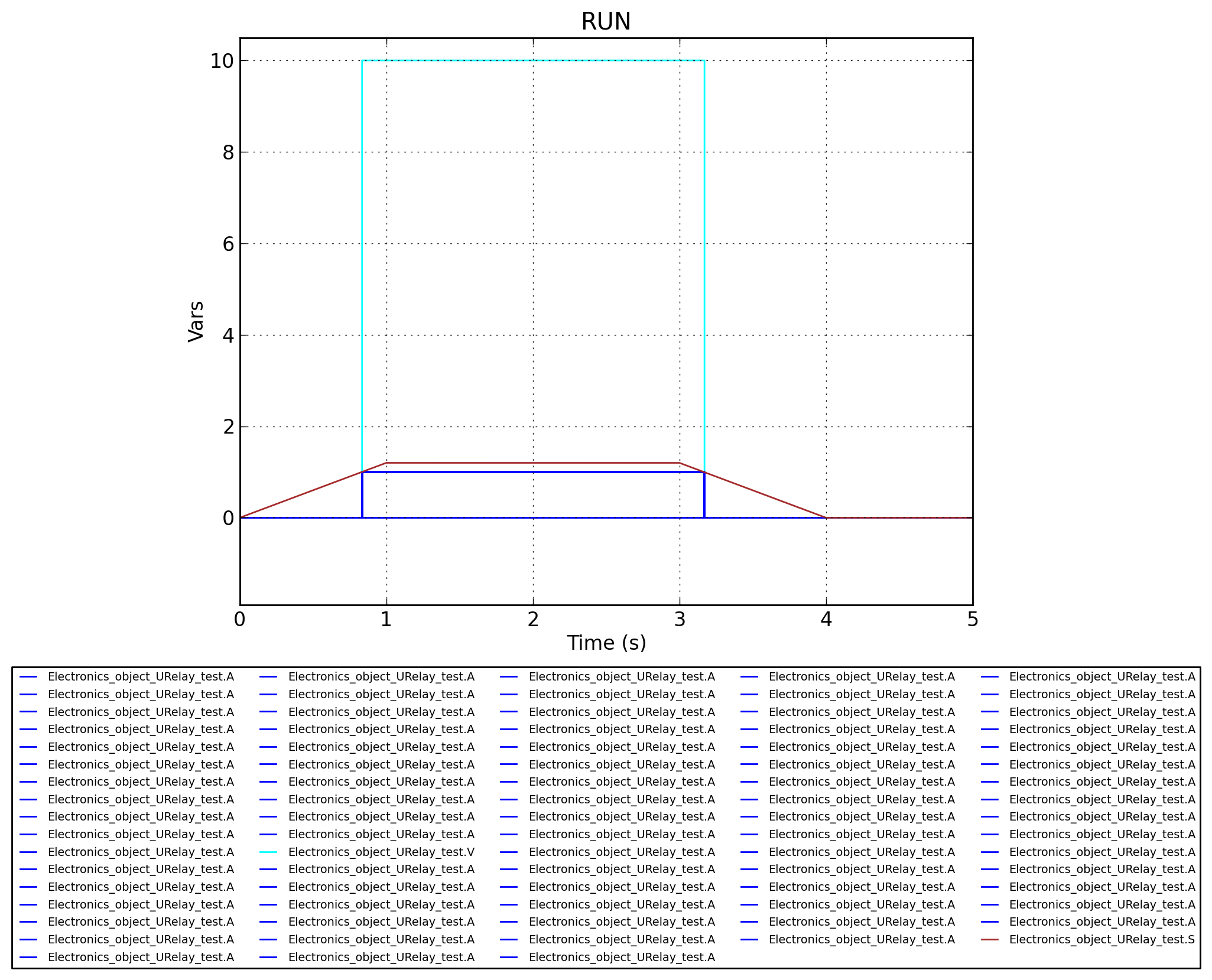
Ожидаемая осциллограмма

На временной диаграмме должны наблюдаться:

  1. Управляющий сигнал S1:

    • Трапециевидная форма

    • Линейное нарастание от 0 до максимального значения

    • Линейный спад обратно до 0

  2. Ток в цепи управления As:

    • Пропорционален напряжению S1

    • Повторяет форму трапеции (при активной нагрузке катушки)

  3. Ток в силовой цепи А1:

    • 0 А при U_упр < 1 В

    • Скачкообразное возрастание до 1 А при достижении порога 1 В

    • Сохранение значения 1 А на всем интервале, где U_упр ≥ 1 В

    • Скачкообразное падение до 0 А при снижении U_упр ниже 1 В

  4. Ток утечки Agr:

    • Практически нулевое значение на всем протяжении

    • Возможны кратковременные всплески в моменты коммутации

Исходные данные

Параметры элементов схемы:

Параметр

Значение

Примечание

R1

10 Ом

Сопротивление нагрузки

E1

10 В

Напряжение силовой цепи

U_сраб

1 В

Напряжение срабатывания

U_отп

1 В

Напряжение отпускания

Примечание: Равенство напряжений срабатывания и отпускания означает отсутствие гистерезиса — реле замыкается и размыкается при одном и том же пороговом значении.

Анализ временных параметров

Хотя в исходных данных не указаны временные параметры трапециевидного сигнала, можно выделить характерные интервалы:

  1. Интервал t₀–t₁: U_упр < 1 В — контакты разомкнуты

  2. Момент t₁: U_упр = 1 В — первое срабатывание, контакты замыкаются

  3. Интервал t₁–t₂: U_упр ≥ 1 В — контакты замкнуты, ток в нагрузке

  4. Момент t₂: U_упр = 1 В (на спаде) — контакты размыкаются

  5. Интервал t₂–t₃: U_упр < 1 В — контакты разомкнуты

Отличие от других типов реле

Сравнение с аналогичными управляемыми реле:

Тип реле

Управляющий параметр

Порог

Тип контакта

URelay

Напряжение

1 В

НО

IRelay

Ток

1 А

НО

INRelay

Ток

1 А

НЗ

Верификация работы

Для проверки правильности функционирования схемы можно:

  1. Измерить напряжение на датчике S1 в момент срабатывания — должно быть ровно 1 В

  2. Проверить ток А1 при замкнутых контактах — должен быть 1 А (по закону Ома)

  3. Убедиться в отсутствии токов утечки (Agr ≈ 0)

  4. Проверить гистерезис — при U_сраб = U_отп реле должно срабатывать и отпускать при одном и том же напряжении

Схема теста
Схема тестирования реле URelay с управлением по напряжению

Рисунок 1 — Схема тестирования управляемого реле URelay (пороговое срабатывание по напряжению)

Глава 3. Графики результатов теста
../../../../_images/Electronics_object_URelay_test.Current.png

Рисунок 2 - Electronics_object_URelay_test.Current

../../../../_images/Electronics_object_URelay_test.RUN.png

Рисунок 3 - Electronics_object_URelay_test.RUN

../../../../_images/Electronics_object_URelay_test.Check.png

Рисунок 4 - Electronics_object_URelay_test.Check

../../../../_images/Electronics_object_URelay_test.Voltage.png

Рисунок 5 - Electronics_object_URelay_test.Voltage