Объект: TM1DEG

Библиотека: ThermalMixture

Имя на уровне решателя: TM1DEG

Аннотация: Отделитель первой фазы с задаваемым объемным расходом

Обозначение: Отделитель первой фазы с задаваемым объемным расходом

Порты (степени свободы) компонента:

Обозначение порта

Тип

Наименование порта

1

Port1

Thermal2MixFluid2

Смесевой теплогидравлический порт, вход в элемент

2

Port2

Thermal2MixFluid2

Смесевой теплогидравлический порт, выход из элемента

3

Port3

base.DOF1

1D упраляющий порт, объемный расход первой компоненты м³/с

Пользовательские параметры модели

Параметр

Тип

Описание

Значение по умолч.

1

D

base.real

Гидравлический диаметр, м

0.01

2

Fluid

Имя объекта свойств среды, -

3

L

base.real

Длина элемента, м

0.01

4

Properties_port1

base.real

Начальное давление, температура, массовая доля первой компоненты на Рort1. Па, K, -

101325.0, 293.15, 0.5

5

Properties_port2

base.real

Начальное давление, температура, массовая доля первой компоненты на Рort2. Па, K, -

101325.0, 293.15, 1

Результаты тестирования
../../../../_images/logo_ru_no_text.png

www.laduga.com

Глава 1. Заданные параметры теста

Название тестируемого компонента

TM1DEG

Модуль тестируемого компонента

ThermalMixture

Дата тестирования

Thu Mar 12 17:45:24 2026

Результат

OK

Глава 2. Схема тестируемого объекта
Объект TM1DEG - Отделитель первой фазы с задаваемым объемным расходом

Тест: Проверка работы отделителя первой фазы

Отделитель первой фазы с задаваемым объемным расходом,  TM1DEG1

D=0.01 - Гидравлический диаметр элемента, м
L=0.01 - Длина элемента, м
Properties_{port1}=101300, 293.15, 0.5 - Начальное давление, температура, массовая доля первой компоненты на Port1. Па, K, -
Properties_{port2}=101300, 293.15, 1 - Начальное давление, температура, массовая доля первой компоненты на Port2. Па, K, -
Fluid=FluidMixture1, смесь - Имя объекта свойств среды, -

Результат:
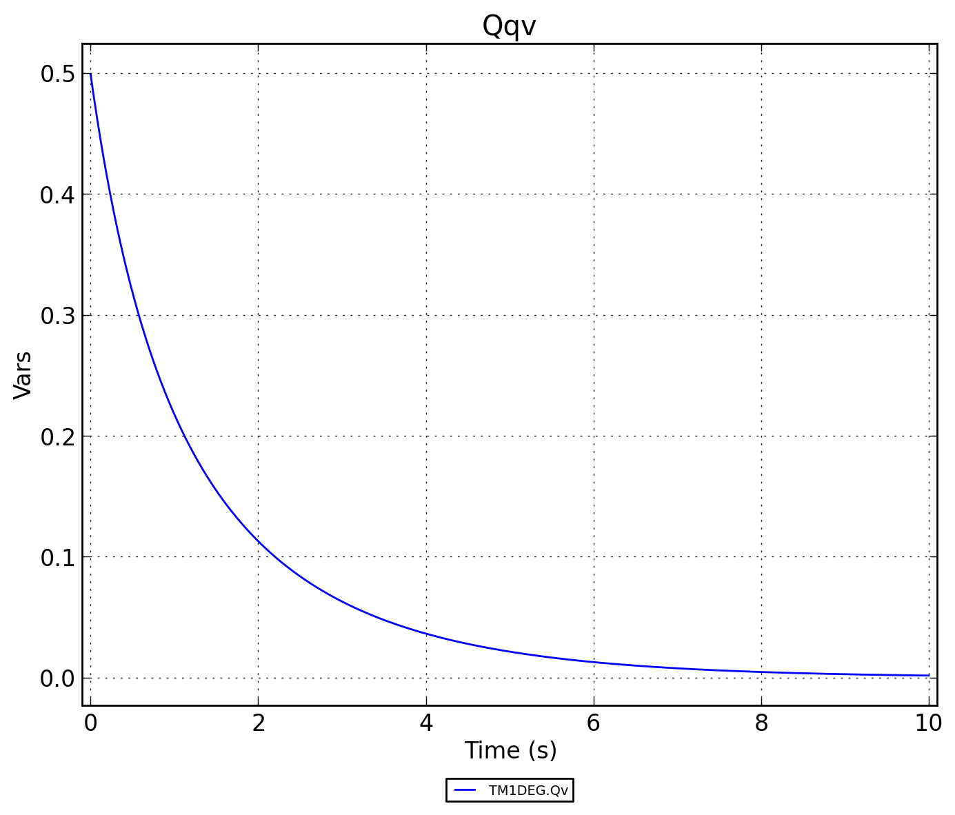
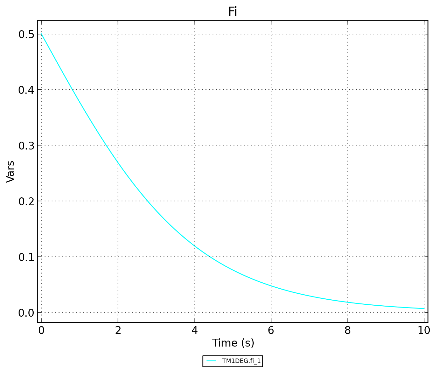
Происходит откачка первой фазы на объеме первого порта. Датчик объемного расхода
регистрирует перетекание среды от порта 1 к порту 2.
Конечная плотность в V1 соответствует массе оставшейся жидкости внутри.
../../../../_images/TM1DEG.sch.png

Рисунок 1 - Схема теста

Глава 3. Графики результатов теста
../../../../_images/TM1DEG.Ro.png

Рисунок 2 - TM1DEG.Ro

../../../../_images/TM1DEG.Fi.png

Рисунок 3 - TM1DEG.Fi

../../../../_images/TM1DEG.Qqv.png

Рисунок 4 - TM1DEG.Qqv

../../../../_images/TM1DEG.RUN.png

Рисунок 5 - TM1DEG.RUN